Research Resume

Paper Review

Total Reviews


Publications

2026

  1. Preprint
    car_wash.png
    The Model Says Walk: How Surface Heuristics Override Implicit Constraints in LLM Reasoning
    Yubo Li, Lu Zhang, Tianchong Jiang, and 2 more authors
    Mar 2026
  2. Preprint
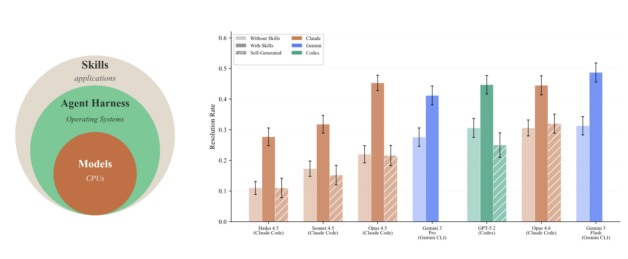
    skillsbench.png
    SkillsBench: Benchmarking How Well Agent Skills Work Across Diverse Tasks
    Xiangyi Li, Yimin Liu, Wenbo Chen, and 39 more authors
    arXiv preprint arXiv:2602.12670, Mar 2026
  3. Preprint
    radar_lrm.png
    Consistency of Large Reasoning Models Under Multi-Turn Attacks
    Yubo Li, Ramayya Krishnan, and Rema Padman
    arXiv preprint arXiv:2602.13093, Mar 2026
  4. Preprint
    conf_survey.png
    Confidence as Control: A Survey of Confidence Utilization in Large Language Models
    Yubo Li, Tianyang Zhou, Xiaobin Shen, and 3 more authors
    arXiv preprint, Apr 2026
  5. Time-To-Inconsistency: A Survival Analysis of Large Language Model Robustness to Adversarial Attacks
    Yubo Li, Ramayya Krishnan, and Rema Padman
    The Fourteenth International Conference on Learning Representations (ICLR 2026), Jan 2026

2025

  1. Co-Alignment: Rethinking Alignment as Bidirectional Human-AI Cognitive Adaptation
    Yubo Li and Weiyi Song
    arXiv preprint arXiv:2509.12179, Sep 2025
  2. Preprint
    coi.png
    Chain-of-Influence: Tracing Interdependencies Across Time and Features in Clinical Predictive Modelings
    Yubo Li and Rema Padman
    arXiv preprint arXiv:2510.09895, Oct 2025
  3. No Black Box Anymore: Demystifying Clinical Predictive Modeling with Temporal-Feature Cross Attention Mechanism
    Yubo Li, Xinyu Yao, and Rema Padman
    arXiv preprint arXiv:2503.19285, Mar 2025
  4. Enhancing End-Stage Renal Disease Outcome Prediction: A Multisourced Data-Driven Approach
    Yubo Li and Rema Padman
    Journal of the American Medical Informatics Association, Aug 2025
    Online ahead of print
  5. Preprint
    beyond.png
    Beyond Single-Turn: A Survey on Multi-Turn Interactions with Large Language Models
    Yubo Li, Xiaobin Shen, Xinyu Yao, and 4 more authors
    arXiv preprint arXiv:2504.04717, Apr 2025
  6. ACL
    firm_fickle.png
    Firm or Fickle? Evaluating Large Language Models Consistency in Sequential Interactions
    Yubo Li, Yidi Miao, Xueying Ding, and 2 more authors
    In Findings of the Association for Computational Linguistics: ACL 2025, Jul 2025

2024

  1. Towards Interpretable End-Stage Renal Disease (ESRD) Prediction: Utilizing Administrative Claims Data with Explainable AI Techniques
    Yubo Li, Saba Al-Sayouri, and Rema Padman
    In AMIA Annual Symposium Proceedings, May 2024